订购/客服热线:
张经理 18274848843
中文
English
名称
CAS
编号
结构式检索
批量搜索
支持CAS号批量搜素:一行一个CAS号
首页
产品中心
标准品杂质对照品
吗啉硝唑
佐米曲普坦
噻托溴铵
唑来膦酸
羟甲唑啉
那格列奈
氟哌啶醇
黄体酮
阿法骨化醇
伏格列波糖
拉贝洛尔
咪达普利
托吡酯
阿伐曲泊帕
阿塞那平
溴己新
氯维地平
卡多曲
头孢美唑
环孢素
双丙戊酸
伊托必利
洛索洛芬
左旋沙丁胺醇
盐酸甲氧明
盐酸奈康唑
去氧肾上腺素
瑞替加滨
索非布韦中间体
柳氮磺吡啶
舒他西林
磺胺甲恶唑
曲唑酮
芜地溴铵
乌利司他
三苯基膦
坦索罗辛
托普司他
法罗培南
纽莫康定
吉瑞替尼
吡仑帕奈
氯己定
舍曲林
比拉斯汀
比索洛尔
米格列醇
奥曲肽
头孢噻吩
异丙肾上腺素
去甲肾上腺素
瑞卢戈利
溴夫定
瑞格列奈
班布特罗
莫达非尼
吲哚布芬
巴洛沙韦
加巴喷丁
维库溴铵
阿莫罗芬
托吡卡胺
艾地骨化醇
夫西地酸
卡比多巴
司替戊醇
秋水仙碱
多巴酚丁胺
利鲁唑
卡巴拉汀
钆布醇
奥希替尼
帕珠沙星
吡拉西坦
甲泼尼龙
萘莫司他
维生素K2
泊马度胺
丁溴东莨菪碱
酮康唑
糠酸莫米松
醋氯芬酸
恩他卡朋
米拉普仑
巴氯芬
地奥司明
拉米地坦
卡巴克洛
咪达那新
阿糖胞苷
达普司他
地诺孕素
美洛昔康
卡替洛尔
克罗米通
雷莫司琼
屈昔多巴
苯海拉明
替吡嘧啶
曲美布汀
生物素
尼美舒利
己酮可可碱
醋丁洛尔
山梨醇
氯普鲁卡因
氟伏沙明
利尿酸
依普沙坦
罗替沙丁
右氯本那敏
达卡他韦
泊那替尼
间苯二酚
氯吡硫磷
阿替洛尔
艾拉莫德
氨磷汀
琥珀胆碱
烟酰胺
本芴醇
哈西奈德
卡巴他赛
苄基沙丁胺醇
米诺膦酸
尼莫地平
美洛西林
亚硝胺
贝美前列素
尼古丁
利托那韦
甲基多巴
肼屈嗪
乌帕替尼
替诺昔康
齐拉西酮
莫那比拉韦
屈他维林
布洛胺
乌美溴铵
色氨酸
樟脑磺酸
决奈达隆
甲氧氯普胺
多佐胺
骨化二醇
吡格列酮
奥达特罗
阿拉格列汀(那格列汀)
替戈拉生
阿布昔替尼
拉罗替尼
阿达帕林
奈玛特韦
度恩西布
普罗布考
乙酰唑胺
卢非酰胺
咪喹莫特
溴隐亭
来特莫韦
奥马环素
卡泊三醇
拉莫三嗪
达克罗宁
酚磺乙胺
氨己烯酸
尼替西农
利司扑兰
富马酸二甲酯
哌罗匹隆
艾替班特
阿贝西利
帕罗韦德
普拉替尼
达罗他胺
维奈妥拉
恩沙替尼
头孢比罗酯
艾托格列净
普卢利沙星
西尼莫德
阿美替尼
氯苯唑酸
葡甲胺
阿扎那韦
雷芬那新
格列吡嗪
拉替拉韦
胺碘酮
多巴醌
氟西汀
氟哌利多
他莫昔芬
骨化三醇
地屈孕酮
维拉佐酮
肾上腺素
腺苷蛋氨酸
异丙嗪
洛贝林
阿魏酸
泰必利
米安色林
博舒替尼
普罗帕酮
环孢菌素
维生素D2
西维来司
聚普瑞锌
氟他胺
布替萘芬
可乐定
苯丙甲胺
依沙吖啶
扎来普隆
苯唑西林
米诺巴林
尼可刹米
四氢吡啶
匹维溴铵
比沙可啶
尼拉帕利
瑞德西韦
瑞格列汀
达拉非尼
克唑替尼
曲美替尼
氟马替尼
福沙吡坦二甲葡胺
阿昔莫司
依巴斯汀
鲁玛卡托
甲巯咪唑
氨茶碱
西沙必利
艾日布林
本维莫德
长春地辛
阿来替尼
安罗替尼
依卡倍特
坦度螺酮
匹莫苯丹
哌醋甲酯
生育酚
阿尔维林
加兰他敏
磷霉素
愈创木酚甘油醚
美托咪酯
美索巴莫
戊乙奎醚
吡贝地尔
酮替芬
丝裂霉素
吡美莫司
氯硝西泮
阿那格雷
替勃龙
氨来占诺
奈达铂
帕唑帕尼
倍他米松磷酸钠
麦角甾醇
达卡巴嗪
新斯的明
依沙维林
托哌酮
乙哌立松
马尼地平
维生素B12(氰钴铵素)
齐多夫定
卡络磺钠
奈福泮
碘克沙醇
雷米普利
美西律
氯米帕明
地高辛
多拉司琼
卢美哌隆
图卡替尼
米库氯铵
毛果芸香碱
酮洛芬
米卡芬净
西咪替丁
多柔比星
亚硝基
罗匹尼罗
丁酸氯倍他松
雷替曲塞
吲哚美辛
卡博特韦
头孢匹胺
托瑞米芬
青霉素V钾
表柔比星
卡利拉嗪
曲克芦丁
曲伏前列素
氯巴占
D-二邻甲基苯甲酰基酒石酸
亮丙瑞林
丹曲林
苯溴马隆
迈华替尼
非达霉素
瑞美吉泮
天冬酰胺
万古霉素
依美斯汀
奥比沙星
伐昔洛韦
非奈利酮
辅酶Q10
曲安奈德
利扎曲普坦
联苯苄唑
阿仑膦酸
美法仑
双嘧达莫
阿替卡因
替比培南
二十烯酸
丙美卡因
新螺旋霉素
薁磺酸钠
拉西地平
双醋瑞因
头孢卡品酯
去铁酮
噻替派
氯米芬
赛庚啶
双氯西林
莫西克汀
间苯三酚
洛度沙胺
贝前列环素
苯烯莫德
洛米茶碱
磷酸左奥硝唑酯二钠
托萘酯
烟酸
林扎戈利
德拉沙星
尼莫克汀
磷酸哌喹
伊达比星
阿扎司琼
屈螺酮
多沙普仑
缬苯那嗪
阿利克仑
阿米洛利
苯丙哌林
福辛普利
乳果糖
甲羟孕酮
喷托维林
普伐他汀
利血平
氨苯蝶啶
异氟烷
双环醇
比亚培南
丙氯拉嗪
头孢喹肟
环酯红霉素
甘草酸
乳酸
丁二酰环磷腺苷
西索米星
头孢洛宁
博来霉素
巯嘌呤
吡柔比星
柔红霉素
甲地孕酮
咪康唑
卤米松
氯霉素
利福平
过氧苯甲酰
壬二酸
四环素
赛洛唑啉
环喷脱酯
萘替芬
灰黄霉素
制霉菌素
高三尖杉酯碱
地匹福林
甲苯咪唑
己烯雌酚
林旦
阿拉莫林
甲氧普烯
赛拉菌素
泰拉霉素
膦甲酸钠
氟氧头孢
荧光素
环磷酰胺
氟胞嘧啶
阿西美辛
前列地尔
地骨皮乙素
艾姆地芬
达伐吡啶
氟苯尼考
三苄糖苷
群多普利
替扎尼定
噻苯达唑
特非那定
舒林酸
磺胺二甲嘧啶
佩玛贝特
消旋卡多曲
利福昔明
司来吉兰
氯唑西林
糠酸氟替卡松
阿巴卡韦
阿坎酸
乙胺嘧啶
普罗瑞林
丙吩嗪
丙磺舒
吡咯他尼
吲哚洛尔
苯妥英
保泰松
泮库溴铵
磺胺酸钾
阿维菌素
己二酸
阿夫唑嗪
阿莫曲坦
苄氟噻嗪
贝沙罗汀
四氢生物蝶呤
苯哌啶醇
苄索氯铵
苄达明
苄基青霉素
奥昔布宁
奥沙西泮
诺斯卡平
去甲替林
诺孕酯
尼鲁米特
尼氟酸
氯硝柳胺
奈韦拉平
癸酸诺龙
萘丁美酮
莫索尼定
β胡萝卜素
苯扎贝特
贝硫肽
比哌立登
次氯酸铋
波尔定
溴莫尼丁
溴哌啶醇
莫西多明
米托蒽醌
间甲酚
溶血磷酯酰胆碱
利奈孕酮
甲芬那酸
溴苯那敏
丁苯羟酸
丁咯地尔
丁丙诺啡
卡麦角林
羟苯磺酸钙
亚叶酸钙
樟脑
卡巴匹林
卡比马唑
卡莫司汀
白诺菌素
多真菌素
阿利沙坦酯
玛伐凯泰
咯萘啶
贝舒地尔
醋酸氟轻松
黄曲霉毒素
利氟格拉替尼
黄曲霉素
依托度酸
两性霉素
卡洛芬
硝呋酚酰肼
氘可来昔替尼
米托坦
替洛利生
奈诺沙星
托氟沙星
芦曲泊帕
奥特康唑
卡谷氨酸
地非法林
米铂
人参皂苷
三七皂苷
贝组替凡
那他霉素
西尼必利
恩那度司他
芦比替定
马立巴韦
卢立康唑
二十碳五烯酸
鹅去氧胆酸
非诺特罗
麦迪霉素
瑞司美替罗
升麻素
奥格列汀
水飞蓟宾
多替诺德
维立西呱
达巴万星
左羟丙哌嗪
托品醇
曲司氯铵
羟基大黄素
司美替尼
多库酯钠
塞利尼索
匹妥布替尼
兰泽替尼
伊普可泮
伊万卡塞
贝凡洛尔
哌库溴铵
吲哚菁绿
亚甲蓝
曲法罗汀
碘美普尔
阿托伐醌
芬布芬
艾瑞昔布
卡马替尼
异硫蓝
吡虫啉
依托必利
马波沙星
拉尼米韦
小檗碱
三氯生
胆固醇
恶喹酸
维生素E
卡贝缩宫素
环索奈德
胆酸
安乃近
甘草次酸
维贝格龙
米那普仑
达沙替尼
奥沙拉秦
地夸磷索
厄贝沙坦
格拉司琼
艾地苯醌
普拉洛芬
氯苯那敏
呋塞米
拉科酰胺
艾司洛尔
噻吗洛尔
溴莫尼定
格列齐特
贝那普利
右美沙芬
红霉素
顺铂
替罗非班
巴豆酸
托西酸舒他西林
氨苄西林
复格列汀
克林霉素磷酸酯
乙酰基半胱氨酸
沙美特罗
丙酸氟替卡松
卢帕他定
茚达特罗
利巴韦林
度他雄胺
雷尼替丁
羧甲司坦
辛伐他汀
瑞加德松
吲达帕胺
阿比特龙
氟马西尼
氨磺必利
美托洛尔
美沙拉嗪
鲁拉西酮
特比萘芬
孟鲁司特
长春瑞滨
异丙托溴铵
尼群地平
氟氯西林钠
氟氯西林
西尼地平
坦洛新
瑞巴派特
替莫唑胺
苯噻草胺
依鲁替尼
大观霉素
卡泊芬净
培哚普利
紫杉醇
泛酸钙
地拉罗司
美罗培南
培美曲塞
帕洛诺司琼
吗替麦考酚酯
普乐沙福
依那普利
艾沙康唑
昂丹司琼
金刚烷
头孢孟多
头孢呋辛
头孢克肟
依匹斯汀
伊索拉定
卡维地洛
安非他酮
阿那曲唑
他唑巴坦
罗库溴铵
色瑞替尼
阿立哌唑
头孢妥仑
亚胺培南
普拉曲沙
布瓦西坦
奥匹卡朋
仑伐替尼
阿昔洛韦
替普瑞酮
西司他丁
哌拉西林
泼尼卡松
尼可地尔
立他司特
奥普力农
沙丁胺醇
利培酮
曲氟尿苷
乌拉地尔
卡托普利
叶酸
丙胺卡因
克立硼罗
雷西纳德
唑吡坦
硫辛酸
罗替戈汀
丙戊酸钠
特地唑胺
赛乐西帕
厄多司坦
羟氯喹
尼非卡兰
沙芬酰胺
胍法辛
WHDS
达托霉素
伊班膦酸
阿司匹林
鲁比前列酮
维生素A
氟比洛芬
氯维司群
二甲双胍
泛醇
克仑特罗
乙酰水杨酸
奥沙利铂
沙格列汀
依托考昔
度鲁特韦
安立生坦
来氟米特
地氯雷他定
异环磷酰胺
磺胺甲噁唑
甲氧苄啶
地喹氯铵
奥利司他
那氟沙星
来那替尼
托伐普坦
倍氯米松
托特罗定
地尔硫卓
熊去氧胆酸
利奥西呱
奥洛他定
非那雄胺
富马酸
芬戈莫德
左亚叶酸钙
阿罗洛尔
西罗莫司
阿扎胞苷
贝达喹啉
维生素K1
甲麦角新碱
尼麦角林
巴多昔芬
迪拉马尼
妥洛特罗
贝他斯汀
氟维司群
左叶亚酸钙
替格列汀
奈妥吡坦
阿伐那非
艾曲泊帕
拉呋替丁
克伦特罗
吉西他滨
坎地沙坦
长春新碱
甲氧明
倍他司汀
右旋肉碱
瑞马唑仑
达可替尼
双氯芬酸
维生素D3
依帕司他
氯诺昔康
氟尿嘧啶
多潘立酮
维生素B2
氟替卡松
苯丙氨酸
赖氨酸
吡喹酮
米尔贝肟
乙胺丁醇
乙酰半胱氨酸
沙格雷酯
莫沙比利
伊维菌素
右丙亚胺
普芦卡必利
硝酸异山梨
更昔洛韦
碘海醇
阿米卡星
利福喷丁
螺内酯
贝尼地平
普仑司特
艾普拉唑
非索罗定
托莫西汀
多立培南
多巴胺
氟苷嘧啶
佐匹克隆
莫匹罗星
福莫特罗
氨基葡萄糖
厄他培南
氯法拉滨
非索非那定
替卡西林
替莫西林
氯沙坦
羟丙茶碱
苯海索
美司钠
托拉塞米
地塞米松
洛美沙星
脯氨酸
溴芬酸钠
阿托西班
头孢唑林
维生素C
阿托品
东莨菪碱
恶拉戈利钠
多西拉敏
巴瑞替尼
白消安
丙泊酚
氯胺酮
伊班膦酸钠
他氟前列素
匹可硫酸钠
美普他酚
倍他洛尔
格隆溴铵
奥泽沙星
普莫卡因
氟桂利嗪
福多司坦
维生素B6
环丙沙星
地佐辛
雷洛昔芬
依托孕烯
米诺地尔
文拉法辛
氯倍他索
雷诺嗪
维拉帕米
吗啉
瑞波西利
维兰特罗
阿苯达唑
霉酚酸酯(吗替麦考酚酯)
利匹韦林
奈比洛尔
地瑞那韦
夫罗曲坦
尼洛替尼
甘氨胆酸
倍他米松
比卡格韦
替沃噻吨
异维A酸
波生坦
舒马曲坦
多沙唑嗪
多西环素(强力霉素)
特立氟胺
苄丝肼
左旋多巴
丁苯那嗪
头孢硫脒
甘氨酸
比卡鲁胺
度骨化醇
吡非尼酮
丁螺环酮
艾氟康唑
左甲状腺素
茶碱
依利格鲁司特
恩诺沙星
洛哌丁胺
哌唑嗪
洛匹那韦
洛伐他汀
马西替坦
氯法齐明
麦芽酚
尼卡地平
罗沙司他
米格列奈
重酒石酸间羟胺
甲氨蝶呤
马来酸
精氨酸
钆塞酸
比阿培南
头孢丙烯
喜树碱
苏沃雷生
恶拉戈利
硫唑嘌呤
阿帕鲁胺
法匹拉韦
阿比多尔
萘普生
依普利酮
酮咯酸
甘露醇
泽布替尼
氢化可的松
罗沙替丁
地塞米松磷酸钠
非诺贝特
多西他赛
卡前列素氨基丁三醇
法莫替丁
巴比妥酸
伊沙佐米
来曲唑
米诺环素
氨甲环酸
芦可替尼
氮卓斯汀
吡咯并喹啉醌
吉美嘧啶
同位素标记化合物
标准品
瑞舒伐他汀
匹伐他汀
氟伐他汀
西他沙星
曲美他嗪
阿加曲班
肌氨酸钠
西替利嗪
氯吡格雷
索利那新
阿哌沙班
莫西沙星
埃索美拉唑
奥拉西坦
丁酸氯维地平
氟康唑
兰索拉唑
罗氟司特
门冬氨酸鸟氨酸
纳美芬
依达拉奉
考尼伐坦
雷美替胺
缬沙坦
福司氟康唑
阿法替尼
普萘洛尔
曲格列汀
达比加群酯
依度沙班
替诺福韦酯
沃拉帕沙
左乙拉西坦
普拉克索
卡培他滨
非马沙坦
硝呋太尔
多塞平
利格列汀
吉非替尼
氨氯地平
氧氟沙星
雷贝拉唑
泮托拉唑
依托咪酯
阿托伐他汀
左氧氟沙星
非洛地平
硝苯地平
奥美拉唑
左炔诺孕酮
阿齐沙坦
奥美沙坦酯
利伐沙班
帕布昔利布
双丙戊酸钠
依折麦布
奥氮平
氨溴索
替格瑞洛
布洛芬
非布索坦
伊伐布雷定
厄洛替尼
长春西汀
普瑞巴林
伊马替尼
西那卡塞
替诺福韦拉酚氨酯
尼达尼布
阿戈美拉汀
索非布韦
帕瑞昔布钠
帕利哌酮
泊沙康唑
磷酸肌酸钠
奥贝胆酸
苯达莫司汀
替诺福韦艾拉酚胺
托法替尼
爱维莫潘
维格列汀
维达列汀
沙库巴曲缬沙坦
沃诺拉赞
他达那非
达泊西汀
布南色林
卡博替尼
恩杂鲁胺
他达拉非
福沙匹坦
普拉格雷
索拉非尼
阿格列汀
度洛西汀
氟吡汀
帕瑞昔布
头孢曲松
维生素B1
替硝唑
伊曲茶碱
西地那非
沃替西汀
奥硝唑
奥扎格雷
兰地洛尔
氟达拉滨
米力农
伐地那非
拉坦前列素
培美曲塞二钠
腺嘌呤
替诺福韦
西格列汀
维生素
丁苯酞
伐尼克兰
奥司他韦
米拉贝隆
伊立替康
盐酸溴己新
地西泮
依维莫司
碘帕醇
头孢吡肟
阿奇霉素
头孢西丁
雷迪帕韦
维帕他韦
托烷司琼
硼替佐米
左西孟旦
托匹司他
阿考替胺
多奈哌齐
布林佐胺
特拉唑嗪
奥卡西平
氯解磷定
头孢洛林
醋酸乌利司他
布地奈德
匹莫范色林
纳呋拉啡
纳曲酮
纳洛酮
氟班色林
依匹哌唑
替米沙坦
癸氧喹酯
克霉唑
别嘌醇
去氧肾上腺
帕罗西汀
拉米夫定
利奈唑胺
氯丙嗪
阿普斯特
地西他滨
喹硫平
阿瑞匹坦
二氢睾酮
聚甲酚磺醛
美托咪定
得米地曲
环丝氨酸
苹果酸
西酞普兰
劳拉西泮
伊潘立酮
格列美脲
阿莫西林
泼尼松
噻奈普汀
奥兰西丁
特布他林
罗哌卡因
泼尼松龙
甲哌卡因
布比卡因
利多卡因
丁卡因
塞来昔布
盐酸萘康唑
头孢克洛
贝利司他
布美他尼
奈康唑
多索茶碱
阿西替尼
头孢噻肟
头孢米诺
右美托咪定
来那度胺
诺氟沙星
阿维巴坦
他克莫司
阿普唑仑
伏立康唑
格列本脲
法舒地尔
氯雷他定
依西美坦
氯氮平
替加环素
舒必利
替吉奥
甲硝唑
舒更葡糖钠
阿卡波糖
林可霉素
克林霉素
罗红霉素
艾司西酞普兰
头孢地尼
伊布替尼
卡铂
匹多莫德
氨曲南
柳氮磺砒啶
左卡尼汀
帕拉米韦
舒尼替尼
卡非佐米
瑞戈非尼
丙卡特罗
溴丁酸
洛索洛芬钠
谷胱甘肽
异烟肼
对乙酰氨基酚
头孢呋辛钠
阿曲库铵
依托泊苷
乐伐替尼
奥斯替尼
头孢他啶
雷沙吉兰
克拉维酸
恩替卡韦
头孢泊肟酯
头孢替安
头孢哌酮
头孢米诺钠
阿德福韦
舒巴坦
青霉素
碘普罗胺
7-ACA
头孢羟氨苄
头孢拉定
头孢甲肟
头孢唑肟
头孢地嗪
华法林
色甘酸钠
恩曲他滨
氢氯噻嗪
乐卡地平
奥拉帕尼
伊曲康唑
克拉霉素
头孢美唑钠
赛洛多辛
头孢呋辛酯
头孢曲松钠
恩格列净
卡格列净
伊格列净
达格列净
泰格列净
头孢唑林钠
头孢氨苄
特色中间体
有机硼酸中间体
液晶单体
农药中间体
多肽序列杂质定制
多黏菌素
特利加压素
胸腺法新
西曲瑞克
ACE抑制剂肽
脂肪酸释放激素肽
醋酸胃酶抑素
Opiorphin
埃皮塔隆
Papain Inhibitor
布舍瑞林
戈那瑞林
Bpc157
依多曲肽
西仑吉肽
醋酸组氨瑞林
Semax
赖氨加压素
美拉诺坦
醋酸兰瑞肽
布雷默浪丹
Selank
胃蛋白酶抑制剂,抑肽素
人源杀菌肽LL 37
卡培立肽
ACTH (4-10)
戈雷拉肽
醋酸苯赖加压素
胸腺九肽
鳗鱼降钙素
生长抑素
阿巴瑞克
醋酸替可克肽
德舍瑞林
PNC-27
奈西利肽
N-acetyl semax amidate
杜拉鲁肽
强啡肽 A (1-13)
Gonadorelin[6-D-Phe]
安替肽
MOTS-c
DALARGIN
阿肽地尔
依米地肽
abaloparatide
IRGD
加尼瑞克
益智二肽
索玛鲁肽
普卡那肽
阿巴帕肽
维拉卡肽
辛卡利特
化学试剂
特色API
新闻中心
公司新闻
技术文章
行业资讯
友情链接
关于Molcoo
资料中心
联系我们
购物车(
0
)
我的订单
首页
>
产品中心
>
标准品杂质对照品
>
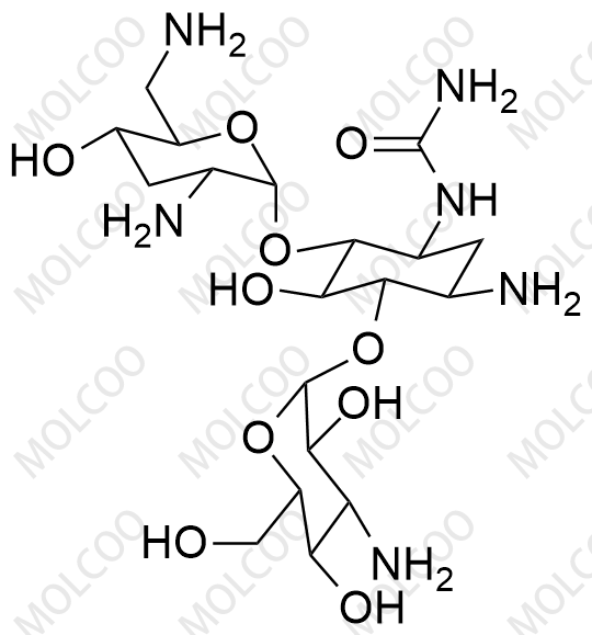
妥布霉素
妥布霉素杂质4
产品编号:
T096004
英文名:
Tobramycin Impurity 4
英文别名:
(2S,3R,4S,5S,6R)-4-amino-2-(((1S,2S,3R,4S,6R)-4,6-diamino-2,3-dihydroxycyclohexyl)oxy)-6-(hydroxymethyl)tetrahydro-2H-pyran-3,5-diol
CAS号:
20744-51-8
分子式:
C
12
H
25
N
3
O
7
分子量:
323.34
其他包装询价
相关产品
产品介绍
COA下载
MSDS下载
妥布霉素杂质5
妥布霉素杂质4
妥布霉素EP杂质C
妥布霉素EP杂质B
妥布霉素EP杂质A
其他包装询价
CAS NO
包装规格
纯度
数量
期望价格
单位名称
产品名称
联系人
电话
E-mail
备注
验证码
填写验证码