
| 产品编号: | B052027 |
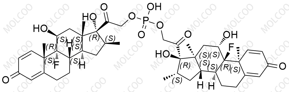
| 英文名: | Betamethasone Sodium Phosphate Impurity 27 |
| 英文别名: | ((4aS,4bS,10aS,10bR,11S,12aS)-10b-fluoro-2,11-dihydroxy-3,10a,12a-trimethyl-1,8-dioxo-1,2,3,4,4a,4b,5,6,8,10a,10b,11,12,12a-tetradecahydrochrysen-2-yl)methyl dihydrogen phosphate |
| CAS号: | |
| 分子式: | C22H30FO8P |
| 分子量: | 472.44 |